ha pasado un año mas o menos para poder usar raylib en Dlang ahora me funciona, gracias autor por esa libreria <3, podrias compartir tutoriales sobre desarrollo pero en Dlang
Krasnaya
7
Posts
1
Topics
1
Followers
1
Following
A member registered Jul 16, 2022 · View creator page →
Creator of
regalo el codigo fuente de un keyloger totalmente gratis
Survival
El codigo fuente de un potente sistema de encriptacion ocultacion y respaldo de informacion
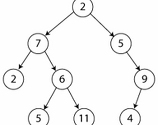
Descripcion y documentacion de como estan formados los arboles binarios en Dlang
Strategy
Base recargable para cuarquier cosa que necesite recargarse con una alimentacion de 3v
Un libro descargable para que aprendas a fortalecer tus habilidades analiticas
Codigo de dona tridimencional escrita en C que se puede ver en la consola de windows















